• Labs
  • Projects
  • People
  • Output
  • Explore
  • Engage
  • About
  • Contacts
Output
Model validation of a single degree-of-freedom oscillator: a case study. STATS
Output

model validation of a single degree-of-freedom oscillator: a case study. stats

By Mathematical Data Science Lab

2022

Model validation of a single degree-of-freedom oscillator: a case study. STATS. 5(4). 1195-1211.

Boone, E.L., Ghanam, R., Ghosh, S., Hannig, J., Prudhomme, S. and Ruggeri, F.

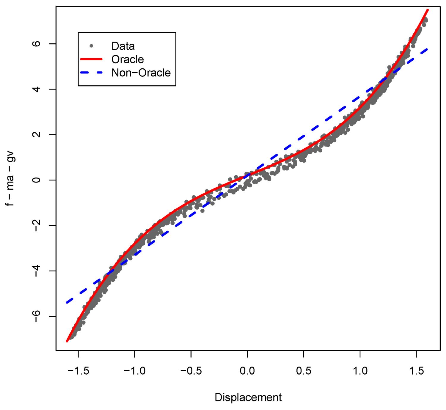
Abstract: In this paper, we investigate a validation process in order to assess the predictive capabilities of a single degree-of-freedom oscillator. Model validation is understood here as the process of determining the accuracy with which a model can predict observed physical events or important features of the physical system. Therefore, assessment of the model needs to be performed with

respect to the conditions under which the model is used in actual simulations of the system and to specific quantities of interest used for decision-making. Model validation also supposes that the model be trained and tested against experimental data. In this work, virtual data are produced from a nonlinear

single degree-of-freedom oscillator, the so-called oracle model, which is supposed to provide an accurate representation of reality. The mathematical model to be validated is derived from the oracle model by simply neglecting the non-linear term. The model parameters are identified via Bayesian

updating. This calibration process also includes a modeling error due to model misspecification and modeled as a normal probability density function with zero mean and standard deviation to be calibrated.

MDPI

 

Team

  • Dr. Ryad Ghanam
  • D
    Dr. Edward Boone

© 2026 VCUarts Qatar. All rights reserved.

  • Facebook
  • Instagram
  • LinkedIn
  • Privacy Policy
  • Labs
  • Projects
  • People
  • Output
  • Explore
  • Engage
  • About
  • Contacts
  • Privacy Policy
Made by V–A Studio